Chapter 7
The Posterior Pituitary Pathway
M. Yusoff Dawood and Firyal S. Khan-Dawood
Main Menu   Table Of Contents

Search

M. Yusoff Dawood, MB ChB, MMed, MD
Department of Obstetrics, Gynecology, and Reproductive Sciences, University of Texas Medical School at Houston, Houston, Texas (Vol 1, Chap 18; Vol 5, Chap 7)

Firyal S. Khan-Dawood, PhD
Associate Professor of Obstetrics, Gynecology and Reproductive Sciences, and of Physiology, Department of Obstetrics, Gynecology and Reproductive Sciences, University of Texas Medical School at Houston, Houston, Texas (Vol 5, Chap 7)

HISTORICAL ASPECTS
STRUCTURE OF PITUITARY PEPTIDES
BIOSYNTHESIS OF NEUROHYPOPHYSIAL PEPTIDES
REGULATORY MECHANISMS AND SECRETION
ACTION AND METABOLISM OF NEUROHYPOPHYSIAL HORMONES
METHODS OF MEASUREMENT
TESTS OF POSTERIOR PITUITARY FUNCTION
LEVELS OF OXYTOCIN
LEVELS OF VASOPRESSIN
LEVELS OF NEUROPHYSIN
DRUGS AFFECTING RELEASE OF NEUROHYPOPHYSIAL HORMONES
REFERENCES

HISTORICAL ASPECTS

In 1838, Rathke described the human hypophysis cerebri as being derived from two parts: an ectodermal dorsal invagination of the oral epithelium, which becomes the adenohypophysis, and a ventral process arising from the floor of the diencephalon, constituting the neurohypophysis or posterior pituitary gland. The vasopressor and oxytocic activities of the posterior pituitary were first shown by Oliver and Schafer in 1895 and by Dale in 1906, respectively. Subsequently, posterior pituitary extracts were shown to have galactokinetic and antidiuretic properties. Thereafter, these properties were reported to be due to two separate components, which eventually led to the structural analysis and synthesis of the two active peptide hormones and their binding proteins, the neurophysins, all of which are now clearly established to be secreted by the hypothalamoneurohypophysial system. Oxytocin is more involved in human reproductive processes than is vasopressin or the neurophysins.

Back to Top
STRUCTURE OF PITUITARY PEPTIDES

The structures of oxytocin, vasotocin, and vasopressin are shown in Figure 1. Both oxytocin and vasopressin consist of nine amino acid residues, of which two are half cystines forming a disulfide bridge between positions 1 and 6. Unlike the pig, the human has arginine vasopressin and not lysine vasopressin. In the animal kingdom, there are six posterior pituitary hormones with oxytocic properties: oxytocin, mesotocin, isotocin, glumitocin, valitocin, and aspargtocin. Substitutions have occurred only in positions 3, 4, and 8, which suggests that the amino acid residues in positions 1, 2, 5, 6, 7, and 9 are essential for oxytocin function and could be the original ancestral molecule that has evolved to become oxytocin in mammals. The molecular weights of oxytocin and arginine vasopressin are 1007 and 1084 kd, respectively.

Fig. 1. Amino acid sequence of oxytocin, arginine vasopressin, lysine vasopressin, and vasotocin. In human adults, only oxytocin and arginine vasopressin are present; in the human fetus, vasotocin is also found. Lysine vasopressin is found only in pigs.

The neurophysins are polypeptides with a molecular weight of about 10,000 kd. In the human, two forms of circulating neurophysins exist: estrogen-stimulated neurophysin (neurophysin I) and nicotine-stimulated neurophysin (neurophysin II).

Back to Top
BIOSYNTHESIS OF NEUROHYPOPHYSIAL PEPTIDES

The posterior pituitary peptides are synthesized in the neuron cell bodies of the paraventricular and supraoptic nuclei of the hypothalamus. Although the paraventricular nucleus is primarily responsible for oxytocin synthesis and the supraoptic nucleus is responsible for vasopressin synthesis, there is overlap between them.1 Vasopressin is also found in the suprachiasmatic nucleus.2 Vasopressin and oxytocin are synthesized within separate neurosecretory cells, specialized to synthesize only that particular neurohypophysial hormone together with its neurophysin, although these separate neurons may be found in the same hypothalamic nuclei.3 Both oxytocinergic and vasopressinergic neurons are evenly distributed in the paraventricular and supraoptic nuclei, but oxytocinergic cells cluster rostrally while vasopressin-containing cells are found more caudally.4

The oxytocin and vasopressin genes for humans and several other species have been isolated and determined.5,6 All have similar structural organization, confirming a common origin for both peptides from a mutual ancestral gene that separated into two genes for the two hormones about 400 million years ago when vertebrates evolved.7 In all species (mouse, rat, cow, and human) so far studied,8 the oxytocin and vasopressin genes are located on the same chromosome locus, chromosome 20 in humans.8 The genes are, however, oriented in an opposite transcriptional direction and the length of the intergenic sequence is 9 kilobases in humans. Derived from a common ancestor, the oxytocin and vasopressin genes are small, encompass no more than 2.5 kilobases of genome, and have considerable homology. Each gene has three exons with two intervening sequences. Exon A exhibits 70% homology, while exon B has striking homology with few or no nucleotide differences, depending on the species. Exon C has the least homology between the genes for oxytocin and vasopressin. It appears that there are oxytocin enhancers localized within or in the vicinity of the vasopressin gene because oxytocin gene expression in transgenic mice will occur in magnocellular neurons only if the oxytocin gene is linked to the vasopressin gene in a minilocus.9 The oxytocin gene has three hormone-responsive elements: the estrogen-responsive element, the glucocorticoid-responsive element and the thyroid-responsive element. Thus, estrogen, glucocorticoids and thyroid hormone can regulate the oxytocin gene and its expression in several reproductive tissues in different species.

Vasopressin and oxytocin are synthesized as parts of longer independent proteins that included a second polypeptide entity called neurophysin. Both oxytocin and vasopressin are synthesized initially as a larger precursor molecule that is rapidly broken down to the active hormone and its neurophysin prior to its packaging with its respective neurophysin into neurosecretory granules. The neurophysin-hormone complex forms into distinct structures, the neurosecretory granules, which are distributed throughout the perikarya and along the neurons of the neurosecretory cells, whose axons pass through the median eminence into the neural lobe of the pituitary gland. The granules are transported down the axon at 1 to 3 mm/hr to reach the posterior pituitary gland.10

The neurosecretory granules are released by exocytosis, and the membranes of the granules are recaptured by micropinocytosis.11 Thus, the neurohypophysial hormone and its neurophysin appear at the same time in the peripheral blood. Oxytocin is weakly bound to neurophysin and is, therefore, readily available for release in response to a stimulus. A recent investigation has indicated that vasopressin and neurophysin not only are secreted in the neurohypophysial tract but also are present in the hypophysial portal blood in rhesus monkeys, suggesting that vasopressin and oxytocin may affect anterior pituitary function.12

Oxytocin can appear in variable molecular forms with different biological properties for which transcriptional and posttranslational events play an essential role.13 Three types of oxytocin-related peptides, the COOH-terminally extended forms,Nα-acetylated oxytocin and oxytocin metabolites have been found. Their biological relevance is unclear.

Back to Top
REGULATORY MECHANISMS AND SECRETION

Vasopressin

Vasopressin is secreted from the neurohypophysial tract into the hypophysial portal blood and the cerebrospinal fluid. Three major stimuli control the release of vasopressin: (1) changes in osmolality of the blood; (2) alterations in blood volume; and (3) psychogenic stimuli, such as pain, fear, and apprehension. The osmoreceptors are located in the hypothalamus while the volume receptors are found in the left atrium, aortic arch, and carotid sinus. Afferent impulses from the volume receptors travel via the vagus, glossopharyngeal, and aortic nerve to the diencephalon and decrease the secretion of vasopressin. Plasma osmolality changes are relatively more dominant than blood volume alterations in affecting vasopressin release in the human. Other compounds that may be involved in vasopressin release include: (1) angiotensin II, which produces a release in vasopressin, suggesting a feedback loop between the kidney and the hypothalamus; (2) cortisol, which may modify certain stimuli to the release of vasopressin, such as increasing the osmotic threshold for the release of vasopressin; and (3) atrial natriuretic factor (atriopeptin III), which inhibits the hyponatremia-stimulated release of vasopressin.14

Oxytocin

The pathway for the peripheral stimuli to oxytocin originates from areas in the nipple and the cervix. In the milk-ejection reflex, stimulation of the nipples triggers the release of impulses, which proceed along the peripheral nerves (thoracic 3, 4, and 5) and the spinal cord to the hypothalamus, and results in the release of oxytocin from the posterior pituitary gland. The released oxytocin then completes the reflex arc by contracting the myoepithelial cells surrounding the alveoli and small ducts, resulting in milk ejection. The milk-ejection reflex can be suppressed by the activity of higher centers in the brain.

Cervical and vaginal stimulations result in the Ferguson reflex. This is mediated by impulses conducted from the peripheral nerves in the cervix and vagina to the spinal cord and up to the hypothalamoneurohypophysial system where oxytocin is released into the circulation and reaches the uterus to cause uterine contractions.

At a central level, factors controlling the release of neurohypophysial hormone are uncertain but may include: (1) adrenergic and cholinergic mechanisms in the hypothalamus; (2) neural impulses in the axons of the hypothalamoneurohypophysial tract; (3) local ionic changes in the region of the axon terminal15 (in particular, release of vasopressin is calcium-dependent); (4) prostaglandins, which release oxytocin;16 (5) dopaminergic mechanisms (dopamine inhibits oxytocin release);17 (6) cholecystokinin18 and relaxin,19 both of which stimulate oxytocin secretion; and (7) thyrotropin-releasing hormone, which stimulates oxytocin and vasopressin release.16 The release of oxytocin has been shown to be episodic but is so rapid and frequent that it is preferable to describe it as “spurt” release. There are about three spurts of oxytocin release every 10 minutes;20 the spurts become more frequent and have greater amplitude during labor.20,21 In the human22 and the guinea pig,23 intravenously administered prostaglandins can release oxytocin but intra-amniotic administration of prostaglandin F2α in human midtrimester pregnancies24 and intravenous, intraarterial and intracranial administration of prostaglandins in the rabbit25 fail to release oxytocin.

Both oxytocin and vasopressin can increase the overall mitotic rate of acidophils in the adenohypophysis. It has been suggested that the neurohypophysial hormones might influence mitogenesis in the anterior pituitary either directly or by enhancing the secretion of the hypothalamic releasing factors.26 However, in humans, oxytocin infusion did not produce any change in circulating pituitary gonadotropins.27 Oxytocin modulates the central nervous system action of other neuropeptides and pituitary hormones or their secretion. There is a high concentration of oxytocin in the hypophysial portal blood, and it is present in the neuronal elements of the external layer of the median eminence. Oxytocin appears to stimulate the release of prolactin28 and enhances thyrotropin-induced prolactin release during the normal menstrual cycle.29 Oxytocin acts reciprocally against vasopressin to inhibit its potentiating effect on corticotropin releasing factor-stimulated adrenocorticotropic hormone (ACTH)-cortisol release.30

Back to Top
ACTION AND METABOLISM OF NEUROHYPOPHYSIAL HORMONES

Both oxytocin and vasopressin have specific receptors in the target cells on which they act. Specific receptors for oxytocin have been demonstrated in cell membranes of the rat mammary gland, human uterine muscle, rat oviduct,31 different brain region (hypothalamus, hippocampus, olfactory system, limbic system, brain stem, certain parts of the striatum and cortex, the neurohypophysis, the ependyma of the lateral ventricle, and the choroid plexus near the lateral septum), corpus luteum, chorion, amnion, decidua, and even the thymus.32 The molecular weight of oxytocin receptors ranges from 40 kd to more than 200 kd, depending on the technique employed and the species studied.33 The oxytocin receptor present in human myometrium has a molecular weight of 43 kd, consists of 388 amino acids, and has seven putative transmembrane domains typical of G-protein-coupled receptors.34 In human myometrium, endometrium, and ovary, the oxytocin receptors present are encoded by mRNAs with a 4.4 kilobase cDNA, while in the breast the mRNA is 3.6 kilobases.

Oxytocin is believed to stimulate smooth muscle contraction by a direct effect on the cell membrane through an increase in the number of normally sparse sodium gates.35 This action is probably mediated by cyclic adenosine monophosphate and guanosine monophosphate. Oxytocin acts on its receptors in the myometrial cell to bring about two different effects. The first is opening the voltage-dependent calcium channels to increase intracellular free calcium concentration, which activates myosin light chain kinase and the subsequent contractile steps. The second is oxytocin stimulation of inositol phosphate generation throughphosphodiesterase cleavage of phosphatidyl inositol biphosphate.36 As a neuropeptide, oxytocin exerts a neuromodulatory effect on the central nervous system through its receptors present in the brain. This neuromodulatory effect of oxytocin is involved in and affects drug addiction, ethanol tolerance, learning and memory, sexual and maternal behavior, and inhibition of food intake.

Vasopressin receptors have been found in the mammalian bladder epithelial cells and tubular cells from the terminal part of the nephron.37

Vasopressin acts by activating adenyl cyclase, which catalyzes the conversion of adenosine triphosphate to cyclic adenosine monophosphate. It is not clear how an increase in cyclic adenosine monophosphate leads to the antidiuretic response, but it is suggested that by activating a protein kinase that catalyzes phosphorylation of membrane proteins, the permeability of the membrane is altered to increase water diffusion. Vasopressin also does the following: (1) stimulates sodium diffusion; (2) stimulates smooth muscle contraction in the vascular bed, leading to the observed pressor action seen both with physiologic and pharmacologic doses of vasopressin; (3) stimulates the anterior pituitary to cause release of ACTH with large doses of vasopressin; (4) stimulates directly the release of corticotropin-releasing factor; and (5) enhances the memory. The high levels of vasopressin found in the hypophysial portal blood could play a part in the release of ACTH.12

Both oxytocin and vasopressin circulate as the free peptides since the affinity constant of neurophysins is too low to permit significant binding. Data on the apparent volume of distribution of oxytocin indicate that it is apparently distributed into both the intravascular and extravascular compartments. Both neurohypophysial hormones are cleared in the liver and the kidneys. The half-life of vasopressin is 3 to 6 minutes. The half-life of oxytocin is 5 to 17 minutes, with a mean of 10 minutes. The half-life of oxytocin is not significantly reduced during pregnancy, but it is reduced if the dose of oxytocin infused is increased.27,38,39 In spite of the presence of oxytocinase, the metabolic clearance rate of oxytocin is 21.5 ml/kg/min and is not affected by pregnancy.27 During pregnancy, oxytocin is also metabolized in the circulation and in the placenta by the placental enzyme oxytocinase, which is an aminopeptidase, the concentration of which increases with advancing gestation. Oxytocinase cleaves the link between the N-terminal hemicystine residue (position 1) of oxytocin and the adjacent tyrosine residue (position 2), destroying the ring structure and biologic activity of the molecule. The peptide chain is further cleaved in succession up to the proline residue terminal. Degradation of oxytocin by oxytocinase may be a protective mechanism against the uterine-stimulating effects of excessive circulating oxytocin, but the failure of pregnancy plasma to reduce the half-life of oxytocin both in vivo and in vitro argues against a major role of oxytocinase in the metabolism of oxytocin in pregnancy.

Back to Top
METHODS OF MEASUREMENT

Oxytocin and vasopressin can be measured either by biologic assays or by radioimmunoassays. The bioassays of vasopressin have been based on its antidiuretic action on a hydrated ethanol-anesthetized rat or on its effects on smooth muscle. The bioassays of oxytocin are based on the milk-ejection reflex as measured by the mammary intraductal pressure or the response of uterine muscle strips in vitro. These assays are relatively insensitive, require large volumes of blood, and are susceptible to nonspecificity. Many biologically active substances, such as bradykinin, angiotensin, acetylcholine, serotonin, and histamine can interfere with the bioassay.

In view of these problems, radioimmunoassays of oxytocin and vasopressin have been developed by several investigators.40,41,42,43 Because of the low circulating concentrations of neurohypophysial hormones and the interference with antigen-antibody binding by nonspecific factors in the plasma, many of the radioimmunoassay methods that have given apparently reliable results have employed methods to extract the neurohypophysial hormones from plasma prior to measurement. The advantages of radioimmunoassay over bioassay of oxytocin and vasopressin include the high specificity, precision, and reliability, as well as the increased sensitivity. The antisera used in many reported studies are able to accurately distinguish vasopressin from oxytocin.38,40,41 Some dissociation between the values of neurohypophysial hormones measured by radioimmunoassay and bioassays has been found,31 but in most instances the results obtained between the two methods of assay seem to show satisfactory correlation.33,34

Neurophysins I and II have been measured by radioimmunoassay only. Oxytocin, vasopressin, and their neurophysins can be characterized and also measured by high-pressure liquid chromatography. While separation and characterization are readily attained by high-pressure liquid chromatography, radioimmunoassay is more sensitive for quantification.

Back to Top
TESTS OF POSTERIOR PITUITARY FUNCTION

All tests of posterior pituitary function are based on the release or suppression of vasopressin. There is no test that will give precise information on oxytocin reserve in the posterior pituitary gland. Although radioimmunoassay of vasopressin and oxytocin is available in some laboratories, it is still confined to research investigations because of the limited availability of antiserum and the technical difficulties of the assay. The posterior pituitary function tests have been used to distinguish among cranial diabetes insipidus, nephrogenic diabetes insipidus, and psychogenic polydipsia. The tests available include water deprivation tests, the hypertonic saline infusion test, and the nicotine stimulation test.

Water Deprivation Tests

Many different types of the water deprivation test have been used. A properly conducted 8-hour water deprivation test is adequate. In normal subjects, the urine osmolality is greater than 800 mOsm/kg and plasma osmolality is less than 294 mOsm/kg at the end of the 8 hours of fluid deprivation. In diabetes insipidus, the urine osmolality is less than that of the plasma, which is usually greater than 300 mOsm/kg at the end of the 8 hours. Patients with nephrogenic diabetes insipidus can easily be distinguished from those with cranial diabetes insipidus since they do not respond to exogenous vasopressin (desmopressin, 20 μg), which is given at the end of the water deprivation with urine collection continued for another 4 hours. Patients with psychogenic polydipsia usually have normal or low plasma osmolality before the test and have an impaired ability to concentrate their urine. If it is possible to measure, urinary immunoreactive vasopressin in patients with cranial diabetes insipidus shows a minimal rise with fluid deprivation as opposed to a normal rise in patients with nephrogenic diabetes insipidus.

The other posterior pituitary function tests (hypertonic saline infusion and nicotine stimulation tests) have been introduced to overcome the potential pitfalls of the water deprivation test, since in localized hypothalamic disease the osmolar release of vasopressin may be affected while the volume-mediated control mechanisms are unaffected. However, some workers believe that the water deprivation test can identify hypothalamic disease affecting vasopressin release.

Nicotine Stimulation Test

The nicotine stimulation test is less well-established than the water deprivation test and requires different dosages of nicotine for smokers (up to 3 mg) and nonsmokers (1 mg). The mechanism of nicotine-mediated vasopressin release may be via both the cholinergic innervation of the neurohypophysis and the hypotension, with accompanying reduction in glomerular filtration rate and urine flow rate.

Back to Top
LEVELS OF OXYTOCIN

Direct evidence has shown that oxytocin is involved or mediates several events in reproductive physiology.

Female

DURING COITUS.

Oxytocin is released during coitus, but the stimuli responsible for the release are not clearly known. It may involve olfactory, visual, and auditory pathways, or it may be an expression of the Ferguson reflex as a result of vaginal and cervical stimulation during coitus. Circulating oxytocin levels increase significantly with sexual arousal and at ejaculation in males during masturbation,44 as well as during coitus.38 In women, maximum levels of oxytocin are found at the peak of orgasm.45,46

DURING PREGNANCY.

Few studies have measured oxytocin in the blood or amniotic fluid throughout pregnancy (Table 1). Using a specific and sensitive radioimmunoassay, it was found that oxytocin is detectable in 85% of the maternal plasma taken from pregnant women at 6 to 42 weeks' gestation, while amniotic fluid has detectable oxytocin levels in 90% of the samples studied.20 Maternal plasma oxytocin increases significantly with gestational age. The mean maternal plasma oxytocin level increases from 10.4 pg/ml at 8 to 9 weeks to 26.4 pg/ml at 37 weeks and is followed by a significant further increase to 74.2 pg/ml at 38 weeks.20 The increase in maternal plasma oxytocin throughout pregnancy may be due to the rise in circulating estrogen levels, since the administration of estrogens in adult males stimulates oxytocin release. The rising levels of circulating progesterone throughout pregnancy until term could be responsible for blocking the effect of oxytocin on an increasingly estrogen-primed uterus and, thus, prevent premature onset of uterine contractions. The maternal pituitary is the source of the circulating maternal oxytocin during pregnancy although oxytocin gene is also expressed in the decidua,47 indicating that it is a source of oxytocin during pregnancy.

TABLE 1. Cumulative Data on Oxytocin Levels in Maternal Blood During Pregnancy


 

Source of

Stage of

Method of Oxytocin

Levels of Oxytocin or

Authors

Blood

Pregnancy

Determination

Oxytocin-like Substance*

Hawker & Robertson (1957)

Arm vein

Near term

Bioassay with extraction

1.8–85 ng/ml blood

Gonzales-Pannizza &

 

Near term

Internal tocography

20–60 pg/ml plasma

 Sica-Blanco (1957)

 

 

 

 

Sica-Blanco et al (1959)

 

Term

Internal tocography

20–80 pg/ml plasma

Caldeyro-Barcia (1961)

Arm vein

Early pregnancy

Bioassay without extraction

<100 pg/ml plasma

Hawker et al (1961)

Arm vein

Near term

Bioassay with extraction

0.04–14 ng/ml blood

Hawker et al (1961)

Arm vein

Near term

Bioassay with extraction

0.24 ng/ml blood

Kumaresan et al (1974)

Arm vein

4–40 wk

Radioimmunoassay without

132–330 pg/ml plasma

 

 (n = 280)

 

 extraction

 

Dawood et al (1979)

Arm vein

6–42 wk

Radioimmunoassay with

10.4–74.2 pg/ml plasma

 

 (n = 365)

 

 extraction

 


*”Oxytocin-like“ refers to those assays in which the end point is uterine contraction of milk ejection.
Values represent the range of the means for the different weeks of gestation studied.
(Modified from Dawood MY: Contemp Obstet Gynecol 13:181, 1979)

Amniotic fluid oxytocin concentration increases from a mean of 7.8 pg/ml at 14 to 15 weeks' gestation to 43.9 pg/ml at 40 weeks and 30.8 pg/ml at 41 to 42 weeks. Fetal urine has been shown to contain oxytocin with a mean level of 54 pg/ml48 and probably contributes substantially to the amniotic fluid concentration. An amniotic fluid to fetal urine oxytocin concentration ratio of 2:1 in spontaneous labor indicates that there are other sources of amniotic fluid oxytocin.48 Direct efflux of oxytocin from cord vessels is a possible source. Meconium, which is rich in oxytocin,49 contributes to amniotic fluid oxytocin in special circumstances in which enhanced uterine activity may be necessary to hasten delivery of a fetus that is in distress. Since mRNA for oxytocin has been found in human amnion, chorion, and decidua, these are also sources of amniotic oxytocin.47 It is evident that with bioassay, extremely high levels of oxytocin are detected (see Table 1), which may be partially accounted for by interference of nonoxytocin-like substances. Radioimmunoassay measurements estimate 10 to 100 times less oxytocin in maternal blood during pregnancy. Nevertheless, even with radioimmunoassay, rather high concentrations are found by some investigators50 who do not use preliminary extraction of the plasma in their methods compared with those who do.38,40

DURING LABOR AND PARTURITION.

Table 2 summarizes the data available from the literature on the maternal plasma oxytocin levels during human labor. Coch and colleagues51 found significantly higher concentrations of oxytocin in the jugular venous blood compared with peripheral blood and concluded that the maternal pituitary gland releases significant amounts of oxytocin during labor. Chard and colleagues21,38 found detectable oxytocin levels in 19% to 60% of the maternal samples during labor due to spurt release of oxytocin. They found that the percentage of blood samples with detectable levels of oxytocin rises in the late first and second stages of labor. We found that maternal plasma oxytocin increases significantly from the first stage to the second stage of labor, followed by an equally significant decline during the third stage of labor (Fig. 2).40,52

TABLE 2. Cumulative Data on Oxytocin Concentration in Maternal Blood During Labor


 

 

Source of

 

 

 

 

Blood

 

 

Author

Stage of Labor

Assayed

Method of Assay

Oxytocin Levels

Hawker & Robertson (1957)

First

Arm vein

Bioassay with extraction

200–2400 pg/ml blood

Caldeyro-Barcia (1961)

First

Arm vein

Bioassay without extraction

240 pg/ml plasma

Hawker et al (1961)

First

Arm vein

Bioassay with extraction

0–11, 900 pg/ml blood

Hawker et al (1961)

Second stage (expulsive phase)

Arm vein

Bioassay without extraction

280 pg/ml blood

Juret et al (1961)

First stage

Arm vein

Bioassay without extraction

60,000–100,000 pg/ml plasma

Coch et al (1965)

First, second, third

Jugular vein

Bioassay with extraction

600–1,800 pg/ml plasma

 

First, second, third

Arm vein

Bioassay with extraction

50–500 pg/ml plasma

Fitzpatrick & Walmsley (1965)

Second

Arm vein

Bioassay with extraction

160–400 pg/ml plasma

Vorherr (1977)

First, second

Arm vein

Bioassay

Undetectable

Saameli (1963)

 

 

Indirect assessment using

6 pg/ml plasma

 

 

 

 oxytocin intravenous

 

 

 

 

 infusion

 

Chard et al (1970)

 

Arm vein

RIA with extraction

Detectable levels in 19%

Gibbens & Chard (1976)

First

Arm vein

RIA with extraction

Detectable levels in up to

 

 

 

 

60%*

Bashore (1972)

First, second, third

Arm vein

RIA with extraction

<40 pg/ml plasma

 

 

 

 

180 pg/ml plasma (2 cases)

Kumaresan (1974)

First, second

Arm vein

RIA without extraction

70–870 pg/ml plasma

Glick et at (1969)

First, second

Arm vein

RIA with extraction

20–150 pg/ml plasma

 

 

 

 

200–400 pg/ml plasma

Dawood et al (1978)

First, second, third

Arm vein

RIA with extraction

40.3 ± 9.8 pg/ml plasma

 

 (expulsive phase)

 

 

123.9 ± 23.6 pg/ml plasma

 

 

 

 

64.5 ± 13.1 pg/ml plasma


*Oxytocin levels given are 0–25 pg/ml.
Mean ± standard error of the means.
RIA, radioimmunoassay.
(Modified from Dawood MY: Contemp Obstet Gynecol 13:181, 1979)

Fig. 2. Serial maternal plasma oxytocin during the first, second, and third stages of labor in 11 women with spontaneous normal labor and vaginal delivery. In every patient, there was an increase in plasma oxytocin from the first to the second stage and a fall during the third stage. The plasma samples taken during the second stage of labor were timed to coincide with the crowning of the fetal head.(Modified from Dawood MY, Raghavan KS, Pociask C, Fuchs F: Oxytocin during human pregnancy and parturition. Obstet Gynecol 51:138, 1978)

During the first stage of labor, the mean maternal plasma oxytocin level is 40.3 ± 9.8 pg/ml. It increases to 123.9 ± 23.6 pg/ml during the second stage and declines to 64.5 ± 13.1 pg/ml during the third stage. This occurs both in the individual patient and in all the patients studied as a group. Hence, the release of oxytocin into the maternal circulation during the second stage is accentuated by the passage of the presenting part through the cervix and the vaginal outlet via the mechanism of the Ferguson reflex. Because higher levels of oxytocin are found in the jugular venous blood than in the peripheral blood,51 the maternal posterior pituitary gland must be releasing oxytocin during labor so as to increase the peripheral maternal oxytocin levels.

FETAL OXYTOCIN.

There is increased fetal plasma oxytocin concentration, as determined in umbilical cord blood samples, when there is spontaneous onset of labor irrespective of the mode of delivery compared with oxytocin in samples taken from women who are not in labor when undergoing cesarean section.38,48 In our laboratory, the plasma oxytocin levels are always higher in the umbilical artery than in the umbilical vein whether the women are in labor or not, provided they are not given oxytocin. When the women are in established labor, the umbilical arterial plasma oxytocin levels are significantly higher than the umbilical venous plasma oxytocin levels (Fig. 3). Because the oxytocin levels are always higher in the umbilical artery than in the umbilical vein, irrespective of the stage of labor and fetal presenting part, the oxytocin must originate in the fetus and the flow is from the fetal side to the maternal compartment. When patients are given intravenous or buccal oxytocin to stimulate uterine contractions, levels in the umbilical vein are higher than or similar to the levels in the umbilical artery. This finding indicates that it is possible to induce a reverse gradient of oxytocin toward the fetal compartment and may indicate that in pregnant patients requiring oxytocin stimulation of the uterus, there is an underlying deficiency in the release of oxytocin by the fetus and possibly by the decidua, chorion, or amnion, which accounts for the need for oxytocin administration.

Fig. 3. A. Oxytocin levels in the umbilical arterial and venous blood during elective cesarean section, during cesarean section after the onset of labor, and on administration of oxytocin to the mother. Note that umbilical arterial plasma always had higher oxytocin levels than umbilical venous plasma except when the mother was given oxytocin. The umbilical arteriovenous difference in oxytocin levels is significantly higher when there is spontaneous labor than when there is no labor. (Data from Dawood MY, Wang CG, Gupta R, Fuchs F: Fetal contribution of oxytocin in human labor. Obstet Gynecol 52:205, 1978) B. Vasopressin levels in umbilical arterial and venous plasma from patients in labor and patients not in labor.(Data from Chard T: Neurohypophysial hormones. In Fuchs F, Klopper A [eds]: Endocrinology of Pregnancy, 2nd ed, p 271. Hagerstown, MD, Harper & Row, 1977)

It is still unclear whether all the oxytocin flowing from the fetal side into the maternal compartment crosses the placenta without being inactivated by the high concentrations of placental oxytocinase. However, it is clear that an oxytocin gradient can be established from the fetus to the mother or from the mother to the fetus and that oxytocin readily crosses the placenta in the ewe53 and the baboon.54 A major role of oxytocinase in the metabolism of oxytocin has been seriously questioned (see section on Metabolism). Since the uterus is the principal tissue with specific oxytocin receptors and is immediately receiving the fetal hormones after its transplacental passage, much, if not all, of the fetal oxytocin in the umbilical artery must be readily available to stimulate the uterus. Thus, the fetus appears to act as an “oxytocin-injection” system to the mother, comparable to the fuel-injection system of an automobile. Additional sources of oxytocin such as the decidua, chorion, and amnion can also act in a paracrine manner on the uterus.47

The umbilical plasma arteriovenous difference in oxytocin concentration is significantly higher when the woman is in established labor than when she is not.48 Using the arteriovenous difference in umbilical plasma oxytocin levels, the average umbilical blood flow, and umbilical blood hematocrit levels, the estimated mean secretion rates of oxytocin from the fetal to the maternal compartments have been shown to be 2.75 mU/min (5.5 ng) when there is spontaneous labor and vaginal delivery; 3 mU/min (6 ng) in patients having cesarean section after the onset of labor; and only 0.5 mU/min (1 ng) if cesarean section is performed without onset of labor (Table 3).48 It is noteworthy that the secretion rate of 0.5 mU/min in women who are not in labor is consistent with the clinical observation that only ineffectual uterine contraction, if any, will occur with the administration of such a small dose of oxytocin but that the secretion rate of 2.75 to 3 mU/min found in spontaneous labor will cause effective uterine contractions at term when there has been an increase in oxytocin receptors. Since the secretion rate of oxytocin from the fetus to the mother during the first stage of labor, as shown in women undergoing cesarean section with labor, is similar to that found during the second stage in spontaneous labor and vaginal delivery, the sudden increase in maternal plasma oxytocin observed at the second stage must be due to additional oxytocin released from the maternal neurohypophysis. Hence, the data available indicate that during the first stage of spontaneous labor, fetal oxytocin plays a significant and major role while the maternal pituitary releases additional oxytocin to increase markedly the maternal circulating oxytocin concentration during the second stage (expulsive phase). This increase is necessary to augment the strong uterine contractions required to expel the fetus during the final stage of its exit from the birth canal.

TABLE 3. Estimated Secretion Rate of Oxytocin from Fetal to Maternal Compartment Based on Umbilical Plasma Arteriovenous Difference in Oxytocin Concentrations


 

Mean ± SE Umbilical Arteriovenous

Mean ± SE Secretion Rate of

Type of Delivery

Difference in Plasma Oxytocin

Oxytocin per Minute

Spontaneous labor and vaginal delivery

73.3 ± 13.3

5.5 ± 1 ng (2.57 ± 0.5 mU)

Cesarean section (with labor)

 81 ± 12.4

 6 ± 1 ng (3 ± 0.5 mU)

Elective cesarean section (no labor)

13.8 ± 5.1

 1 ± 0.4 ng (0.5 ± 0.2 mU)

(Data from Dawood MY, Wang CF, Gupta R, Fuchs F: Fetal contribution to oxytocin in human labor. Obstet Gynecol 52:205, 1978)

Fetal urine has been shown to contain oxytocin.48 First-voided fetal urine obtained after delivery has a mean oxytocin concentration of 53.8 ± 11.8 pg/ml, a higher level than that reported by Boyd and Chard in maternal urine during labor.55 This provides further evidence for fetal participation in oxytocin release during spontaneous labor.

Little is known about the ontogeny of human neurohypophysial hormones. The concentrations of oxytocin in the human posterior pituitary gland of 150- to 156-day-old fetuses were determined by bioassay to be 92 to 105 ng/gland.56 Using radioimmunoassay, we found that at 14 to 17 weeks' gestation, fetal pituitary gland had 10.2 ± 5.9 ng oxytocin/gland (mean ± SEM), increasing to 31.6 to 38.4 ng at 20 to 26 weeks; 22.1 to 57 ng at 32 weeks; and dramatically to 544.3 ± 33.8 ng oxytocin/gland in 1-day-old to 5-day-old newborns.57 Thus, it is evident that the fetal pituitary has started to produce oxytocin by the 22nd week of pregnancy, if not earlier.

Vasotocin is present in the human fetal posterior pituitary gland. Extracts of human fetal neurohypophysial tissue at 130 to 155 days' gestation had oxytocin, vasopressin, and vasotocin. Based on tissue cultures of fetal neurohypophysial cells, it has been shown that vasotocin is produced and secreted by the ependymal cells.58 Thus, while oxytocin and vasopressin are synthesized in the hypothalamic neurosecretory system, vasotocin, which has been suggested as the ancestral molecule, is synthesized in the ependymosecretory system, which lacks neurons. The fetal posterior pituitary gland not only is the site of storage of neurohypophysial hormones but it also synthesizes vasotocin. Vasotocin is also present in the fetal pineal gland, but the significance of this is not understood.

The precise stimulus that causes the release of oxytocin in the human fetus has not been identified, and it is not known whether the release is a primary phenomenon or secondary to the process of labor. It may be hypothesized that stress on the fetus may cause a release of neurohypophysial hormones, but the nature of the stress is difficult to define. It is possible that with increasing growth of the fetus, the placenta is unable to cope with the nutritional demands of the fetus and hence the fetus is stressed. On the other hand, activation of the fetal neurohypophysis during labor and delivery may be the result of acute stimulation caused by uterine contractions to a mature fetal hypothalamoneurohypophysial system.

IN PREMATURE LABOR.

Ethanol can suppress uterine activity in premature human labor. However, it is unclear whether the alcohol affects the myometrium, the posterior pituitary gland, or both. Evidence points to the posterior pituitary gland because the percentage of detectable oxytocin decreases significantly when alcohol is given during the advanced phase of the first stage of labor.17 However, ethanol can also inhibit prostaglandin-induced uterine activity. It is conceivable that the abnormality in the endocrine factor in premature labor may be a deviation from the delicate balance between oxytocin, estrogens, and progesterone, all of which influence uterine activity either directly or indirectly by altering the sensitivity of the myometrium to oxytocin through changes in oxytocin receptors in the myometrium.

OTHER DISORDERS ASSOCIATED WITH LABOR.

There is no evidence of abnormal labor in patients with diabetes insipidus, although it might be expected that the onset of labor would be delayed in such patients if the maternal release of oxytocin is crucial. A surge in plasma oxytocin during labor and the puerperium, similar to the surge found in normal pregnancy, has been reported in a patient with idiopathic diabetes insipidus.59 Since this disease usually limits the function of the maternal posterior pituitary gland, the increase in oxytocin concentration in the maternal circulation is probably of fetal, decidual, chorionic and/or amniotic origin and may account for the ability of these patients to go into spontaneous labor. Also in patients with idiopathic diabetes insipidus, not all of the posterior pituitary glands may have been destroyed and the oxytocin reserve in most of the patients is unknown.

In a study on a limited number of patients, sequential maternal plasma oxytocin concentrations appear to correlate well with the subsequent outcome of labor.20 Patients who have plasma oxytocin concentrations of more than 10 pg/ml throughout the second half of their pregnancies (good oxytocin secretors) develop good rhythmic uterine contractions when they go into labor and deliver vaginally without any difficulty. By contrast, those who have plasma oxytocin concentrations of less than 10 pg/ml (poor oxytocin secretors) develop uterine dysfunction during labor, which necessitates cesarean section.

DURING LACTATION.

Increased oxytocin concentrations are found in the maternal blood during suckling (Table 4). When the human infant suckles, rhythmic changes in intramammary pressure are evoked in the contralateral breast. These changes are caused by rhythmic contraction of the mammary myoepithelium in response to oxytocin. The release of oxytocin in response to suckling is mediated through impulses generated at the nipple and transmitted via the third, fourth, and fifth thoracic nerves to the spinal cord up to the hypothalamus to cause a release of oxytocin from the posterior pituitary gland. The release of oxytocin then completes this milk-ejection reflex. In addition to milk ejection, this reflex is also responsible for the uterine contractions observed at the time of breastfeeding and is often referred to as the “after pains.” Using radioimmunoassay, we found that maternal circulating oxytocin levels are low, usually less than 30 pg/ml prior to suckling. The oxytocin level increases 5 to 10 minutes after initiating suckling, but the maximum levels reached are less than 100 pg/ml during a 30-minute suckling episode (15 minutes on each breast) in the first few days after delivery.60 In many instances, two peaks in the plasma oxytocin concentrations are observed, perhaps a reflection of the suckling stimuli induced in the contralateral breast when the infant is changed to the opposite side. The release of oxytocin during lactation may not be exclusively due to the suckling stimulus but may include olfactory, auditory, and other stimuli. Thus, a mother who is breastfeeding may start to lactate at the sound of hearing her infant cry. More information is needed on the relationship of the neurohypophysis to the adenohypophysis in their respective participation in the mechanism of lactation.

TABLE 4. Maternal Oxytocin Levels During Lactation


 

 

Relationship to

Method of Oxytocin

 

Authors

Source of Blood

Suckling

Determination

Oxytocin Level

Hawker & Robertson (1957)

Arm vein

Before suckling, during

Bioassay with extraction

1.4 ng/ml blood

 

 

 suckling

 

<0.86 ng/ml blood

Hawker (1958)

Arm vein

Before, during, and 2 hr

Bioassay with extraction

40 pg/ml blood

 

 

 after suckling

 

100 pg/ml blood

 

 

 

 

8 pg/ml blood

Hawker et al (1961)

Arm vein

Before suckling

Bioassay with extraction

0–8.8 ng/ml blood

Coch et al (1965)

Internal jugular vein

During suckling

Bioassay with extraction

400–600 pg/ml plasma

Coch et al (1968)

Internal jugular vein

During suckling

Bioassay with extraction and chromatography

24–50 pg/ml plasma

Fox & Knaggs (1969)

Arm vein

Before suckling, during

Bioassay with extraction

38 pg/ml plasma

 

 

 suckling

 

22–224 pg/ml plasma

(Modified from Dawood MY: Contemp Obstet Gynecol 13:181, 1979)

Neurohypophysial Hormones in Peripheral Tissues

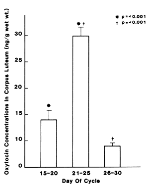
Oxytocin and vasopressin have been identified in corpora lutea of women,61,62,63 subhuman primates,64,65 cows,66 sheep,67 and rabbits, and in human and rat testes.68 Higher concentrations are found in bovine and sheep corpora lutea than in human and primate corpora lutea. Significantly higher concentrations of oxytocin are found in corpus luteum at the midluteal phase (Fig. 4).63,64 Ovarian vein blood draining corpora lutea had a higher concentration of oxytocin than when there is no corpus luteum,63,64,65,69 and the mRNA for oxytocin is present in corpora lutea.5,70,71 Although the role of oxytocin in the ovary and testis is not well understood, oxytocin probably exerts an antigonadal effect and subserves as an intragonadal modulator of luteal function.63,65 Oxytocin inhibits in vitro luteal cell progesterone production,65 shortens the luteal phase and progesterone levels when given directly into the corpus luteum of monkeys,72 and also shortens the cycle length of some animals.73

Fig. 4. Oxytocin concentrations in human corpus luteum during early (days 15–20) and late (days 26–30) luteal phases showing a significant increase at midluteal phase followed by a significant decrease in late luteal phase. (Dawood MY, Khan-Dawood FS: Human ovarian oxytocin: Its source and relationship to steroid hormones. Am J Obstet Gynecol 154:756, 1986)

Oxytocin is also present in human adrenal glands74 and the thymus and in the phrenic nerves of cats. In the adrenal gland, oxytocin appears to regulate steroidogenesis. Thus oxytocin present in peripheral nonneural tissues exerts a paracrine or autocrine effect.

Male

In the male, the function of oxytocin, if any, is unclear. Several studies have shown that exogenous oxytocin may affect sperm transport, possibly by an action on the smooth muscle in the seminiferous tubules. In male rabbits, administration of methallibure, an inhibitor of oxytocin release, reduces sperm count markedly.75 This effect is abrogated when oxytocin is given simultaneously with methallibure, indicating that endogenously released oxytocin during ejaculation may play a part in sperm transportation. Oxytocin is present in the testes of several species.68 In rather high pharmacologic doses, oxytocin exerts an antigonadal effect on the testes by inhibiting testosterone output.76

Oxytocin is released and increases significantly with sexual arousal and also at ejaculation both with masturbation44 and with coitus.45 In women, oxytocin release during coitus could be responsible for the increased uterine activity experienced during orgasm and may aid sperm transport up the female genital tract.

Other recorded effects of oxytocin include “insulin-like” effects on stimulation of glucose uptake and formation of fatty acids, involution of the bovine corpus luteum, and natriuretic effect. However, these are pharmacologic effects of oxytocin rather than physiologic effects.

Back to Top
LEVELS OF VASOPRESSIN

Adult

Unlike oxytocin, which is released in spurts, vasopressin appears to be secreted continuously in normal hydrated humans. The basal levels as determined by both radioimmunoassay and bioassay range from 1 to 5 pg/ml. The plasma vasopressin levels after dehydration range from 1.3 to 16.4 pg/ml. Some workers found no effect of posture on plasma vasopressin, while others found a significant increase in plasma vasopressin in the erect posture.

In patients with cranial diabetes insipidus, the mean plasma vasopressin level is about 3.5 pg/ml (range, 1.4–5 pg/ml) and is significantly lower than in normal subjects. These patients fail to increase their plasma vasopressin following fluid restriction.

In patients who have the syndrome of inappropriate antidiuretic hormone (SIADH), the reported level of plasma vasopressin is 3.2 to 22 pg/ml. A striking feature is that in patients with syndrome of inappropriate antidiuretic hormone due to an oat cell bronchial carcinoma, plasma vasopressin levels are appreciably higher (13–283 pg/ml) than in syndrome of inappropriate antidiuretic hormone not due to an oat cell bronchial carcinoma.

Fetus

While there is little information available on the maternal vasopressin levels in humans, the umbilical arterial and venous plasma levels of vasopressin have been shown to be elevated and 5 to 15 times higher than the oxytocin concentration. Like oxytocin, vasopressin levels are higher in the umbilical artery than in the vein at delivery. The release of such large amounts of vasopressin may be a reflection of stress or hypoxia on the fetal neurohypophysis at the time of parturition but remains to be fully elucidated. The significance and purpose of the high concentrations of vasopressin at the time of delivery are not understood. Several suggestions may be advanced. Vasopressin can stimulate uterine contractions, albeit it is much less potent than oxytocin. However, if the 10 to 15 times higher concentration of vasopressin in the umbilical artery is considered, then the amount of vasopressin in the umbilical artery may be almost equipotent to the amount of oxytocin in terms of eliciting uterine contractions. Vasopressin can stimulate the release of ACTH from the adenohypophysis and it may be part of the mechanism responsible for the physiologic stimulation and release of ACTH in the fetus, leading to a rise in fetal cortisol that occurs at the same time.

In the newborn, release of vasopressin in response to severe hypoxia or during the respiratory distress syndrome can contribute to the abnormal renal function that may accompany this condition.

Back to Top
LEVELS OF NEUROPHYSIN

It has been suggested that because of the difficulty in the measurement of vasopressin and oxytocin, neurophysin levels, which are easier to measure, may reflect oxytocin and vasopressin release. However, this has not been borne out since the binding affinity of neurophysin to the neurohypophysial hormones at the pH of blood in the human body is so low that little oxytocin is bound to neurophysin. Second, the metabolic clearance rate of neurophysin, which has a molecular weight 10 times greater than that of the neurohypophysial hormones, may be different from the latter.

In adult humans, the circulating levels of neurophysin decrease with age.77 The reason for this is unclear. During the menstrual cycle, neurophysin I and neurophysin II levels increase during the follicular phase of the cycle but the level of neurophysin I is constantly higher than that of neurophysin II.77 The increase in the level of neurophysin I has been attributed to stimulation of its release by estrogens, which increases with follicular development and maturation. Hence, it appears that estrogen may modulate neurohypophysial function in the human. In adult males, administration of estrogen can cause a release of neurophysin I.

During pregnancy, there is a gradual increase in immunoreactive neurophysins in the circulation but there is a wide dispersion of individual values.77 Neurophysin II is constantly higher than neurophysin I throughout pregnancy, although circulating estrogen levels are rising substantially throughout pregnancy. This is contrary to the finding that neurophysin I is higher after estrogen administration in humans. Circulating neurophysin levels do not show any significant change during suckling, parturition, or sexual intercourse.78 This finding is again seemingly contrary to expectation if the neurohypophysial hormones are involved in these processes but is understandable if the binding and metabolic properties of neurophysins are considered.

While the adult pineal gland does not have neurophysin, the fetal pineal gland has been found to have a neurophysin-like substance. It has been suggested that this may represent the physiologic gonadotropin-inhibiting principle from the pineal gland. Neurophysin has also been detected in the anterior pituitary gland, albeit in concentrations 100 times less than in the posterior pituitary gland. These observations together with the finding of high concentrations of neurophysins and vasopressin in the hypophysial portal circulation of rhesus monkeys12 suggest that there is an interrelationship between the anterior and posterior pituitary glands, the exact nature of which remains to be elucidated.

The levels of neurophysin in the infant are higher than in the adult but decrease with age. Neurophysin levels are higher on the first day of life than on the sixth day, and neurophysin II levels are always higher than those of neurophysin I in the neonate.

Neurophysins are also found in nonpituitary tissues. Neurophysin I and II are found in the kidney cortex and the mammary gland, but only neurophysin I is found in pineal tumor. The significance of this observation is unclear. Neurophysins have also been immunocytochemically localized in the corpora lutea of women and baboons.79 80

Back to Top
DRUGS AFFECTING RELEASE OF NEUROHYPOPHYSIAL HORMONES

Drugs that stimulate the release of vasopressin include acetylcholine; nicotine; α-agonists given directly into the cerebral ventricles; β-agonists given systemically; vincristine; bradykinin; and clofibrate. α-Agonists given via the systemic circulation, ethanol, and atropine have been used successfully to induce diuresis in the patient with syndrome of inappropriate antidiuretic hormone by inhibiting release of vasopressin but are effective only when there is a benign cause for the syndrome. By contrast, there are fewer drugs that are clearly established as being capable of stimulating or inhibiting oxytocin. Ethanol and methallibure are well known as inhibitors of the release of oxytocin; based on this, ethanol has been used clinically to treat premature labor. While some investigators11 demonstrate that oxytocin is released when prostaglandin E2 or F2α is given intravenously at term, we are unable to stimulate oxytocin release when the prostaglandin is given intra-amniotically for the induction of midtrimester abortion.24

If functional oxytocin receptors are crucial to the initiation and propagation of labor, a blockade with a specific receptor antagonist during the last days of pregnancy could be expected to delay and prolong parturition. Recently, several clinical studies81,82,83 have examined the efficacy and safety of the oxytocin antagonist I-deamino-2-D-tyr(OET)-4-thr-8-orn-vasotocin/oxytocin, which is also known as atosiban, for inhibiting preterm labor. This oxytocin antagonist appears promising because it was able to acutely stop progressive preterm labor in women when compared to other commonly used tocolytics.81,82,83

Back to Top
REFERENCES

1. George JM: Immunoreactive vasopressin and oxytocin: Concentration in individual human hypothalamic nuclei. Science 200: 342, 1978

2. Swaab DF, Pool CW, Nijveldt F: Immunofluorescence of vasopressin and oxytocin in the rat hypothalamo-neurohypophyseal system. J Neural Trans 36: 195, 1975

3. Dierickx K, Vandesdande F: Immunocytochemical demonstration of separate vasopressin-neurophysin and oxytocin-neurophysin neurons in the human hypothalamus. Cell Tissue Res 196: 203, 1979

4. Swaab DF, Nijveldt F, Pool CW: Distribution of oxytocin and vasopressin in the rat supraoptic and paraventricular nucleus. J Endocrinol 67: 461, 1975

5. Ivell R: Biosynthesis of oxytocin in the brain and peripheral tissues. In Ganten D, Pfaff D (eds): Neurobiology of Oxytocin, pp 1–18. New York, Springer-Verlag, 1986

6. Mohr E, Meyerhof W, Richter D: The hypothalamic hormone oxytocin: from gene expression to signal transduction. Rev Physiol Biochem Pharmacol 121: 31, 1992

7. Acher R: Molecular evolution of biologically active polypeptide. Proc R Soc Lond (Biol) 210: 21, 1980

8. Riddell DC, Mallonee R, Phillips JA et al: Chromosomal assignment of human sequences encoding arginine vasopressin-neurophysin II and growth hormone releasing factor. Somatic Cell Mol Genet 11: 189, 1985

9. Young WS II, Reynolds K, Shepard EA et al: Cell-specific expression of the rat oxytocin gene in transgenic mice. J Neuroendocrinol 2: 917, 1990

10. Burford GD, Pickering BT: Intra-axonal transport and turnover of neurophysins in the rat: A proposal for a possible origin of the minor neurophysin component. Biochem J 136: 1047, 1973

11. Swann RW, Pickering BT: Incorporation of radioactive precursors into the membrane and contents of the neurosecretory granules of the rat neurohypophysin as a method of studying their fate. J Endocrinol 68: 95, 1976

12. Zimmermann EA, Carmel PW, Hussain MF et al: Vasopressin and neurophysin: High concentrations in monkey hypophyseal portal blood. Science 182: 925, 1973

13. Burbach JPH, Adan RAH, Bree de FM: Regulation of oxytocin gene expression and forms of oxytocin in the brain. Ann N Y Acad Sci 652: 1, 1992

14. Poole CJM, Carter DA, Vallejo M, Lightman SL: Atrial natriuretic factor inhibits the stimulated in vivo and in vitro release of vasopressin and oxytocin in the rat. J Endocrinol 112: 97, 1987

15. Douglas WW: A possible mechanism for neurosecretion: Release of vasopressin by depolarization and dependence on calcium. Nature 197: 81, 1963

16. Weitzmann RE, Firemark HM, Glatz TH, Fisher DA: Thyrotropin-releasing hormone stimulates release of arginine-vasopressin and oxytocin in vivo. Endocrinology 104: 904, 1979

17. Seybold VS, Miller JW, Lewis FR: Investigation of a dopaminergic mechanism for regulating oxytocin release. J Pharmacol Exp Ther 207: 605, 1978

18. Verbalis JG, McCann MJ, McHale CM, Stricker EM: Oxytocin secretion in response to cholecystokinin and food: Differentiation of nausea from satiety. Science 232: 1417, 1986

19. O'Byrne KT, Eltringham L, Clarke G et al: Effects of porcine relaxin on oxytocin release from the neurohypophysis in the anaesthetized lactating rat. J Endocrinol 109: 393, 1986

20. Dawood MY, Ylikorkala O, Trivedi D, Fuchs F: Oxytocin in maternal circulation and amniotic fluid during pregnancy. J Clin Endocrinol Metab 49: 429, 1979

21. Gibbens GLD, Chard T: Observations of maternal oxytocin release during human labor and the effect of intravenous alcohol administration. Am J Obstet Gynecol 126: 243, 1976

22. Gillespie A, Brummer HC, Chard T: Oxytocin release by infused prostaglandins. Br Med J 1: 543, 1972

23. Illingworth DV, Ackland N, Burton AM et al: Studies on the endocrinology of parturition in the guinea pig. J Reprod Fertil 33: 361, 1973

24. Dawood MY, Kim JS, Lauersen NH: Unpublished data

25. Fuchs A-R, Dawood MY: Effects of prostaglandin F2α (PGF2α) on oxytocin release, uterine activity and parturition in rabbits. Abstracts of the 61st Annual Meeting of the Endocrine Society, Anaheim, CA, 1979, abstract 353, p 161

26. Pawlikowski M, Maja J, Stepien H: Influence of vasopressin and oxytocin upon mitotic activity of adenohypophyseal cells in rat. Endokrynol Pol 26: 417, 1975

27. Dawood MY, Ylikorkala O, Trivedi D, Gupta R: Oxytocin levels and disappearance rate and plasma follicle-stimulating hormone and luteinizing hormone after oxytocin infusion in men. J Clin Endocrinol Metab 50: 397, 1980

28. Samson WK, Lumpkin MD, McCann SM: Evidence for a physiological role for oxytocin in the control of prolactin secretion. Endocrinology 119: 556, 1986

29. Coiro V, Gnudi A, Volpi R et al: Oxytocin enhances thyrotropin-releasing hormone-induced prolactin release in normal menstruating women. Fertil Steril 47: 565, 1987

30. Suh BY, Liu JH, Rasmussen DD et al: Role of oxytocin in the modulation of ACTH release in women. Neuroendocrinology 44: 309, 1986

31. Soloff MS: Oxytocin receptors. In Blecher M (ed): Methods in Receptor Research, Part II, p 511. New York, Marcel Dekker, 1976

32. Zeeman GG, Khan-Dawood FS, Dawood MY: Oxytocin and its receptors: Current concepts and clinical implications. Submitted to Am J Obstet Gynecol

33. Soloff MS, Beauregard G, Poitier M: Determination of the functional size of oxytocin receptors in plasma membranes from mammary gland and uterine myometrium of the rat by radiation inactivation. Endocrinology 122: 1769, 1988

34. Kimura T, Tanizawa O, Mori K et al: Structure and expression of a human oxytocin receptor. Nature 356: 526, 1992

35. Kleinhaus AL, Kao CY: Electrophysiological actions of oxytocin on the rabbit myometrium. J Genet Physiol 53: 758, 1969

36. Marc S, Leiber D, Harbon S: Carbachol and oxytocin stimulate the generation of inositol phosphate in the guinea pig myometrium. FEBS Lett 201: 9, 1986

37. Jard S, Bockaert J, Roy C, Rajerison R: Vasopressin receptors. In Blecher M (ed): Methods in Receptor Research, Part I, p 667. New York, Marcel Dekker, 1976

38. Chard T, Boyd NRH, Forsling ML et al: The development of a radioimmunoassay for oxytocin: The extraction of oxytocin from plasma and its measurement during parturition in human and goat blood. J Endocrinol 48: 223, 1970

39. Fabian M, Forsling ML, Jones JJ, Pryor JS: The clearance and antidiuretic potency of neurohypophysial hormones in man, and their plasma binding and stability. J Physiol 204: 653, 1969

40. Dawood MY, Raghavan KS, Pociask C: Radioimmunoassay of oxytocin. J Endocrinol 76: 261, 1979

41. Edwards CRW, Chard T, Kitau MJ et al: The development of a radioimmunoassay for arginine-vasopressin: Production of antisera and labelled hormone; separation technique; specificity and sensitivity of the assay in aqueous solution. J Endocrinol 52: 279, 1972

42. Robertson GL, Mahr EA, Athar S, Sinha T: Development and clinical application of a new method for the radioimmunoassay of arginine-vasopressin in human plasma. J Clin Invest 52: 2340, 1973

43. Skowsky WR, Rosenbloom AA, Fisher DA: Radioimmunoassay measurement of arginine vasopressin in serum: Development and application. J Clin Endocrinol Metab 38: 278, 1974

44. Murphy MR, Seckl JR, Burton S et al: Changes in oxytocin and vasopressin secretion during sexual activity in men. J Clin Endocrinol Metab 65: 738, 1987

45. Carmichael MS, Humbert R, Dixen J et al: Plasma oxytocin increases in the human sexual response. J Clin Endocrinol Metab 64: 27, 1987

46. Fox CA, Knaggs GS: Milk ejection activity (oxytocin) in peripheral venous blood in man during lactation and in association with coitus. J Endocrinol 45: 145, 1969

47. Miller FD, Chibbar R, Mitchell BF: Synthesis of oxytocin in amnion, chorion and decidua: A potential role of oxytocin in the onset of human parturition. Regul Pept 45: 247, 1993

48. Dawood MY, Wang CF, Gupta R, Fuchs F: Fetal contribution to oxytocin in human labor. Obstet Gynecol 52: 205, 1978

49. Seppala M, Aho I, Tissari A, Ruoslahti E: Radioimmunoassay of oxytocin in amniotic fluid, fetal urine and meconium during late pregnancy and delivery. Am J Obstet Gynecol 114: 788, 1972

50. Kumaresan P, Anandarangam PB, Dianzon W, Vasicka A: Plasma oxytocin levels during human pregnancy and labor as determined by radioimmunoassay. Am J Obstet Gynecol 119: 215, 1974

51. Coch JA, Brovetto J, Cabot HM et al: Oxytocin equivalent activity in the plasma of women in labor and puerperium. Am J Obstet Gynecol 91: 10, 1965

52. Dawood MY, Raghavan KS, Pociask C, Fuchs F: Oxytocin during human pregnancy and parturition. Obstet Gynecol 51: 138, 1978

53. Noddle BA: Transfer of oxytocin from the maternal to the fetal circulation of the ewe. Nature 203: 414, 1964

54. Dawood MY, Lauersen NH, Trivedi D et al: Studies on oxytocin in the baboon during pregnancy and delivery. Acta Endocrinol 91: 704, 1979

55. Boyd NRH, Chard T: Human urine oxytocin levels during pregnancy and labor. Am J Obstet Gynecol 115: 827, 1973

56. Dicker SE, Tyler C: Vasopressin and oxytocin activities of the pituitary glands of rats, guinea pigs and cats and of human fetuses. J Physiol 121: 206, 1953

57. Khan-Dawood FS, Dawood MY: Oxytocin content of human fetal pituitary glands. Am J Obstet Gynecol 148: 420, 1984

58. Pavel S: Vasotocin biosynthesis by neurohypophysial cells from human fetuses: Evidence for its ependymal origin. Neuroendocrinology 19: 150, 1975

59. Sende P, Pantelakis N, Suzuki K, Bashore R: Plasma oxytocin determinations in pregnancy with diabetes insipidus. Obstet Gynecol 48: 38s, 1976

60. Dawood MY, Khan-Dawood FS, Wahi RS, Fuch F: Oxytocin release and plasma anterior pituitary and gonadal hormones in women during lactation. J Clin Endocrinol Metab 52: 678, 1981

61. Wathes DC, Pickering BT, Swann RW et al: Neurohypophyseal hormones in the human ovary. Lancet 2: 410, 1982

62. Khan-Dawood FS, Dawood MY: Human ovaries contain immunoreactive oxytocin. J Clin Endocrinol Metab 57: 1129, 1983

63. Dawood MY, Khan-Dawood FS: Human ovarian oxytocin: Its source and relationship to steroid hormones. Am J Obstet Gynecol 154: 756, 1986

64. Khan-Dawood FS, Marut EL, Dawood MY: Oxytocin in the corpus luteum of the cynomolgus monkey ( Macaca fascicularis ). Endocrinology 115: 570, 1984

65. Khan-Dawood FS, Huang J-C, Dawood MY: Baboon corpus luteum oxytocin: An intragonadal peptide modulator of luteal function. Am J Obstet Gynecol 158: 882, 1988

66. Wathes DC, Swann RW, Birkett SD et al: Characterization of oxytocin, vasopressin and neurophysin from the bovine corpus luteum. Endocrinology 113: 693, 1983

67. Wathes DC, Swann RW: Is oxytocin an ovarian hormone? Nature 297: 225, 1982

68. Khan-Dawood FS, Dawood MY: Immunoreactive oxytocin in the gonads and adrenals of the cow, rabbit and rat. Life Sciences Advances—Experimental and Clinical Endocrinology 8: 75, 1989

69. Khan-Dawood FS, Goldsmith LT, Weiss G, Dawood MY: Human corpus luteum secretion of relaxin, oxytocin and progesterone. J Clin Endocrinol Metab 61: 627, 1989

70. Ivell R, Furuya K, Brackmann B et al: Expression of the oxytocin and vasopressin genes in human and baboon gonadal tissues. Endocrinology 127: 2990, 1990

71. Khan-Dawood FS, Dawood MY, Ivell R: Baboon corpus luteum oxytocin. In Gibori G (ed): Signaling mechanisms and gene expression in the ovary, pp 374–379. New York, Springer-Verlag, 1991

72. Auletta FS, Paradis DK, Wesley M, Duby RT: Oxytocin is luteolytic in the rhesus monkey ( Macaca mulatta ). J Reprod Fertil 72: 401, 1984

73. Armstrong DT, Hansel WJ: Alternative of the bovine estrous cycle with oxytocin. Dairy Sci 42: 533, 1953

74. Ang VTY, Jenkins JS: Neurohypophysial hormones in the adrenal medulla. J Clin Endocrinol Metab 58: 688, 1984

75. Sharma OP, Hays RLA: A possible role for oxytocin in sperm transport in the male rabbit. J Endocrinol 68: 43, 1976

76. Adashi EW, Hsueh AJW: Direct inhibition of testicular androgen biosynthesis revealing antigonadal activity of neurohypophysial hormones. Nature 293: 650, 1981

77. Legros JJ: The radioimmunoassay of human neurophysins: Contributions to the understanding of the physiopathology of neurohypophyseal function. Ann N Y Acad Sci 248: 281, 1975

78. Robinson AG, Archer DF, Tolstoi LF: Neurophysin in women during oxytocin-related events. J Clin Endocrinol Metab 37: 645, 1973

79. Khan-Dawood FS: Immunocytochemical localization of oxytocin and neurophysin in human corpora lutea. Am J Anat 179: 18, 1987

80. Khan-Dawood FS: Localization of oxytocin and neurophysin in baboon ( Papio anubius) corpora luteum by immunocytochemistry. Acta Endocrinol 113: 570, 1986

81. Akerlund M, Stromberg P, Hanksson A et al: Inhibition of uterine contractions of premature labor with an oxytocin analogue. Results from a pilot study. Br J Obstet Gynaecol 94: 1040, 1987

82. Andersen CF, Lyndrup J, Akerlund M et al: Oxytocin receptor blockade: A new principle in the treatment of preterm labor. Am J Perinatol 6: 196, 1989

83. Goodwin TM, Paul RH, Millar L: Effect of the oxytocin antagonist atosiban on preterm labor—initial US trial. Scientific Program and Abstracts of the 39th Annual Meeting of the Society for Gynecologic Investigation, San Antonio, TX, pp 118, abstract 20, 1992

Back to Top