Chapter 13
New Developments in Male Contraception
John K. Amory and William J. Bremner
Main Menu   Table Of Contents

Search

John K. Amory, MD
Assistant Professor of Medicine, VA Puget Sound Health Care System, University of Washington, Seattle, Washington (Vol 6, Chap 13)

William J. Bremner, MD, PhD
Robert G. Petersdorf Professor and Chairman, Department of Medicine, University of Washington, Seattle, Washington (Vol 6, Chap 13)

INTRODUCTION
MALE REPRODUCTIVE PHYSIOLOGY
BARRIERS TO SPERM
PREVENTING SPERM PRODUCTION
KILLING OR INHIBITING SPERM: SPERMICIDES AND SPERM IMMUNIZATION
CONCLUSIONS
REFERENCES

INTRODUCTION

The world's population, which currently exceeds 6 billion, is increasing by 80 million per year.1 Throughout the world, population growth is producing significant problems with food and water supply, pollution, overcrowding, and resource depletion. Much of this population growth is unintended. Family planning organizations estimate that half of all conceptions are unplanned and half the resulting pregnancies are undesired.2 In part, this high rate of unintended pregnancy is due to unavailable or inadequate contraception. Undesired pregnancies often end in abortion or infanticide. In the United States, where contraception is widely available there are 1.5 million abortions yearly accounting for roughly one quarter of all pregnancies.3 Abortion in countries where the procedure is illegal or unavailable from trained providers with sterile equipment can be lethal and is estimated to kill between 50,000 and 100,000 women yearly worldwide.4,5 Although current contraceptives for women can be extremely effective at preventing pregnancy, many women either do not have access to them or choose not to use them because they find the side effects unacceptable or perceive the health risks to be too great. Thus, a pressing need remains for additional contraceptive options, especially male-directed varieties.

At present, the few methods of contraception available to men include condoms, withdrawal, spermicides, and vasectomy, and vasectomy is not reliably reversible. Efforts are under way to develop newer male contraceptives to allow men to become full partners in the prevention of unintended pregnancy. This chapter first reviews existing methods of male contraception and then discusses the current status of research into the development of novel approaches to male fertility control.

Back to Top
MALE REPRODUCTIVE PHYSIOLOGY

The testes are responsible for both the production of sperm and the synthesis of testosterone, a steroid hormone. Testosterone is important in sperm production and also in the maintenance of male libido, muscle, and bone mass. In addition, testosterone has a beneficial impact on mood, cognition, and overall sense of well-being.6 Testosterone is produced by Leydig cells within the interstitium of the testes, and its production is stimulated by luteinizing hormone (LH). Sperm are produced within the seminiferous tubules, where their maturation is nurtured by Sertoli cells under the influence of follicle-stimulating hormone (FSH) and high levels of intratesticular testosterone.

Production of mature sperm from germ cells takes approximately 72 days. Sperm production by the testis is continuous and occurs in four distinct phases: (1) a mitotic phase in which the germ cells, the spermatogonia, give rise to diploid spermatocytes; (2) a meiotic phase in which spermatocytes double their chromosome complement and undergo two cycles of cell division resulting in haploid spermatids; (3) spermiogenesis, which involves spermatid nuclear condensation and flagellum formation; and (4) spermiation, which involves release of the spermatozoa into the tubular lumen.7 Storage and further maturation of sperm take place in the epididymis; sperm aspirated from the epididymis are capable of fertilization.8

As in most endocrine systems, an elaborate feedback loop exists to regulate hormone production and testicular function. Production of pituitary gonadotrophins FSH and LH in the anterior pituitary is regulated by gonadotropin-releasing hormone (GnRH), a decapeptide secreted by the hypothalamus in a pulsatile fashion (Fig. 1). Testosterone and inhibin B, a glycoprotein hormone secreted by Sertoli cells, provide negative feedback on the production of GnRH and pituitary gonadotropins at the hypothalamus (testosterone) and pituitary (FSH and testosterone). Given the nature of sperm production, a male contraceptive can work in one of three ways: (1) by preventing sperm from reaching the egg by physical barriers (condoms and vasectomy), (2) by preventing sperm production (hormonal methods), or (3) by killing or inhibiting the function of sperm (spermicides and sperm vaccines).

Fig. 1. The endocrinology of spermatogenesis and male hormonal contraception. Solid lines indicate “promotes”; dashed lines indicate “inhibits.”(Amory JK, Bremner WJ: Newer agents for hormonal contraception in the male. Trends Endocrinol Metab 11:61, 2000.)

Back to Top
BARRIERS TO SPERM

Vasectomy and Condoms

Vasectomy is a safe, simple, outpatient surgery performed under local anesthesia in which the ductus deferens is severed and the ends ligated through a small scrotal incision. There are approximately 500,000 vasectomies performed in the United States yearly and worldwide over 50 million men have undergone the procedure.9 Vasectomies are highly effective with a failure rate of less than 1% and a low incidence of complications.10,11 The relatively new “no-scapel technique,” which was perfected in Sichuan province in China,12 in which a single puncture is made midline in the scrotal raphe with scissors, is probably superior to older techniques.13,14 Drawbacks to vasectomy include a delay in the onset of azoospermia of 3 to 6 months, pain, and rare infections of the surgical site. Although most postoperative pain resolves quickly, upward of one third of men do experience chronic testicular discomfort.15 In one study of such men, 27 of 33 had relief of these symptoms with reversal of the vasectomy.16

Vasectomies are most appropriate for men who no longer wish to father children. However, 3% to 5% percent of men with vasectomies do eventually request reversal, usually due to remarriage.17 Vasectomy reversal, a procedure termed vasovasostomy, has the potential to restore fertility, however, rates of pregnancy vary from 30% to 70% depending on the length of time between the vasectomy and the reversal procedure. In 20% to 30% of men, vasovasostomy is unable to restore patency of the vas if more than 8 years have elapsed since the original vasectomy.18 In addition, 20% to 40% of men remain infertile despite restored patency of the vas (as documented by imaging techniques) possibly due to the presence of antisperm antibodies.19 For these reasons, vasectomy cannot be recommended as a truly reversible method of contraception.

The good news about vasectomy is that it appears to be safe in terms of overall male health. Earlier reports of associations between vasectomy and cardiovascular disease have proven incorrect, and more recent concerns about vasectomy and prostate cancer risk have not been substantiated.20 In summary, vasectomy is highly effective and very safe. The major drawbacks are chronic testicular discomfort in about one third of men and the inability of surgery to reliably restore fertility when desired.

Condoms

Condoms made of animal intestine have been used as a means of male fertility control for several hundred years. Since 1920, most condoms have been made of latex rubber, which offers some protection against many sexually transmitted diseases including human immunodeficiency virus. Condoms are mostly free from adverse side effects; however, condoms have a marginal contraceptive efficacy, which results for the most part from improper or inconsistent usage, although condom breakage occurs in up to 2% of cases. Pregnancy rates for couples using condoms as their sole means of contraception approach 15% to 20% per year.21 A drawback to condoms is their poor long-term compliance because they must be used correctly during 100% of sexual encounters. In addition, some men dislike condoms because they feel that condoms either diminish sexual pleasure or are difficult to use. Finally, some men and women develop allergic reactions to the latex (derived from rubber plants) that can cause skin irritation and, rarely, anaphylaxis.22,23

Back to Top
PREVENTING SPERM PRODUCTION

Hormonal Male Contraceptives

Because of the drawbacks of existing methods of male contraception, efforts have been made to develop a hormonally derived contraceptive analogous to estrogen/progesterone birth control pill for women. Such a hormonal contraceptive has the potential to be safe, easy to use, and reversible. Testosterone, when administered in slightly supraphysiologic doses, can function as a contraceptive by suppressing the secretion of the pituitary gonadotropins LH and FSH. Low levels of LH and FSH deprive the testis of the signals required for spermatogenesis, leading to markedly decreased sperm counts in most, but not all, men. Sperm counts uniformly rise after the cessation of testosterone administration. Surveys conducted in several countries suggest that such a hormonally derived male contraceptive administered either by daily pills or periodic injections would be welcomed by a large percentage of men and women.24,25

In general, hormonal contraceptives do not incapacitate existing sperm; they block the initiation of sperm production. Given that sperm take an average of 72 days to reach maturity, it is likely that any contraceptive based on manipulation of the hormonal axis must be associated with some delay in the onset of full contraceptive effect. In normal men, sperm counts vary from 20 to 200 million sperm per milliliter of ejaculate. The absence of spermatozoa in the ejaculate, a condition termed azoospermia, renders fertilization impossible and is therefore the ultimate goal of hormonal male contraceptives. Most studies to date, however, demonstrate that some men sustain partial but incomplete reduction of their sperm counts, a condition called oligozoospermia.26 Sperm counts below 3 million sperm per milliliter of ejaculate are associated with decreased rates of pregnancy.27 Severe oligozoospermia (counts less than 1 million sperm per milliliter) decreases the chances of conception even further and is therefore considered a reasonable short-term goal for male contraceptive research.

Ethnic differences must be considered in interpreting results of contraceptive trials. Study volunteers in Asia are more susceptible to testosterone-induced suppression of spermatogenesis, with rates of azoospermia in the 90% to 100% range. Men studied in Europe, North America, and Australia, however, have rates of azoospermia closer to 60% to 80% on the same regimens.27,28 Although the explanation for this difference is inconclusive, it is important in the interpretation of trial results and complicates extrapolation of data to different populations.

Testosterone as Contraceptive

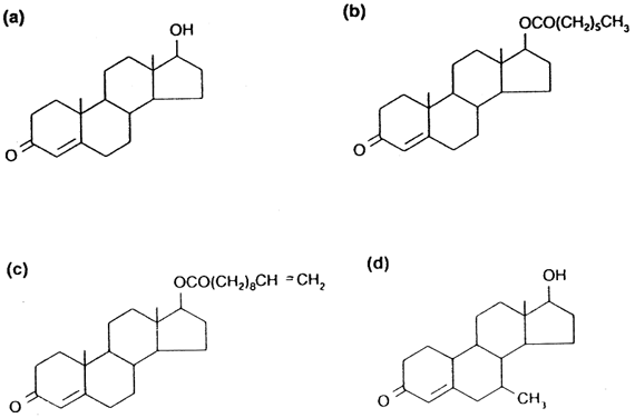
Administration of unmodified testosterone (Fig. 2 A) is impractical because when given orally or by injection it is quickly degraded by the liver. Therefore, most hormonal contraceptive regimens have used longer-acting injectable testosterone esters such as testosterone enanthate (TE) (see Fig. 2 B) given by intramuscular injection on a weekly to fortnightly basis. On such a regimen, sperm counts approach 0 between 2 and 3 months, with recovery of normal sperm counts 3 to 4 months after the injections are discontinued.

Fig. 2. Androgens used in contraceptive research: ( a) testosterone, ( b) testosterone enanthate, ( c) testosterone undecenoate, ( d) 5α-methyl-19-nor-testosterone.(Amory JK, Bremner WJ: Newer agents for hormonal contraception in the male. Trends Endocrinol Metab 11:61, 2000.)

Two multicenter trials of TE as a male contraceptive have been conducted by the World Health Organization (WHO). The first study enrolled 271 subjects who were given 200-mg TE intramuscularly weekly.28 Of these men, 60% achieved azoospermia, and an additional 30% were rendered severely oligozoospermic. Moreover, 119 of the men who became azoospermic were instructed to discontinue other birth control and to continue on TE injections. These couples were followed up for 1 year. During that time, only 1 pregnancy occurred, thereby demonstrating testosterone-induced azoospermia to be an effective contraceptive.

The second WHO study examined the fertility of both the men who became azoospermic and the men who achieved severe oligozoospermia with TE injections.27 In total, 399 men were enrolled in this study. Of these, 98% became severely oligospermic (less than 3 million sperm per milliliter) or azoospermic. There were no pregnancies caused the men who became azoospermic, and in men who became severely oligospermic, fertility was reduced to 8.1 pregnancies per 100 person-years. The overall failure rate (including men who failed to suppress their sperm counts) was 3.4%, for an overall contraceptive efficacy of 96.6%. In both groups, sperm counts returned to normal after the cessation of testosterone injections, and there were no major side effects.

These studies demonstrated that injected TE is safe, fully reversible, and effective as a contraceptive in most men; however, a proportion of men fail to suppress below 3 million sperm per milliliter and therefore presumably remain fertile. In addition, the necessity of weekly intramuscular injections is a deterrent. Twelve percent of patients in the second WHO study discontinued involvement for personal or medical reasons or due to dislike of the injection schedule. Finally, high-dose TE has been shown to decrease serum HDL cholesterol, which could accelerate atherosclerosis.29,30

Because of poor acceptability of weekly injections, newer methods of sustained testosterone delivery suitable for use in a contraceptive regimen are being pursued. Testosterone undecanoate (TU) (see Fig. 2 C), is a long-chain ester that is absorbed from the intestine through the lymphatics and therefore escapes first pass hepatic metabolism.31 It can be given orally two to four times a day, or by intramuscular injection, where it results in normal serum T levels for at least 6 weeks in hypogonadal men.32,33,34

Recently, a small trial of TU injections in normal men was conducted in China.35 Volunteers received monthly injections of 500 or 1000 mg TU. Eleven of 12 in the 500-mg group and 12 of 12 in the 1000-mg group became azoospermic, with the 1000-mg group achieving azoospermia more quickly. Importantly, no significant changes in serum HDL or serious side effects were found, proving this to be a promising androgen for future studies. Of particular interest will be studies to determine whether white men are equally susceptible to TU-mediated suppression of spermatogenesis.

The testosterone ester 7α-methyl-19-nortestosterone (MENT) (see Fig. 2 d) is also of considerable interest.36 This compound is ten times more potent than testosterone and is not converted into dihydrotestosterone, the androgen implicated in prostatic hypertrophy, acne, and male-pattern baldness. To date, MENT has not been used in contraceptive trials, but its potency and tissue selectivity could be advantageous in the long-term safety and side effect profile of a hormonally derived male contraceptive. MENT (and other new tissue-selective androgens) have the exciting potential of improving general health by decreasing the likelihood of the development of prostatic hypertrophy and prostate cancer in men in addition to providing safe and effective contraception.

Transdermal testosterone patches have been in use for the last several years for the treatment of male hypogonadism but have only recently been tested for male contraception. A contraceptive study combining 5.4-mg testosterone daily delivered through transdermal patch with the progestin levonorgestrel was recently described.37 This combination, unfortunately, resulted in azoospermia in only 2 of 11 men, with counts below 3 million sperm per milliliter in 3 others. This low success rate was probably due to insufficient testosterone delivery through the transdermal route. Transdermal delivery of testosterone is also hampered by the frequent complaints of skin irritation caused by the patches, which has lead to high discontinuation rates in clinical practice.

Testosterone with GnRH Analogues and Progestins

Because of the failure of testosterone-only regimens to suppress sperm production completely in all men, compounds such as GnRH analogues and progestins that also suppress pituitary gonadotropins are being studied in combination with testosterone to optimize its contraceptive efficacy. The combination of testosterone with the widely used GnRH agonists, such as leuprolide, has proven disappointing, but research into the use of GnRH antagonists as contraceptives remains promising. GnRH antagonists can potently suppress FSH and LH production within hours of administration, and their inhibition of gonadotrophin secretion is more complete than that produced by agonists.

Three human trials have been conducted using the GnRH antagonist Nal-Glu with testosterone. The first two trials showed promise, with 7 of 8 subjects in one study achieving azoospermia by 6 to 10 weeks of treatment.38,39 A third trial, however, demonstrated no difference in azoospermia when compared with TE alone.40 The time required to reach azoospermia was roughly 7 to 10 weeks, and normal sperm counts returned in roughly the same amount of time, demonstrating the reversibility of this approach. Newer GnRH antagonists, such as cetrorelix and acyline (Fig. 3), have recently been introduced for experimentation. Administration of cetrorelix to cynomolgus monkeys safely reduces serum gonadotropins and androgens by 80% within 16 days.41 Similar results were obtained in trials of healthy male volunteers.42 These agents are obvious choices for future testing in male contraceptive trials.

Fig. 3. Amino acid composition of gonadotropin-releasing hormone (GnRH) and some GnRH agonists and antagonists.

Currently available GnRH antagonists have some drawbacks. As peptides, they are expensive to manufacture and must be injected subcutaneously to avoid degradation in the intestine. Administration of these compounds can induce mild burning sensations at the injection site and occasional nontender, subcutaneous nodules, which resolve within weeks. Because they are effective, however, additional work is being undertaken with these compounds.

Recently, the discovery of nonpeptide, orally active GnRH antagonists has been published.43,44 Although not yet tested in humans, these compounds have immense potential in male contraception as well as the treatment of many other conditions.

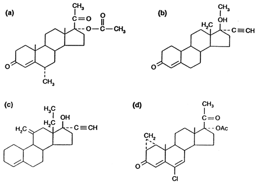
The idea of using a progestin synergistically with testosterone to block sperm production has been extensively tested.45 Combinations of testosterone and depot injections of medroxyprogesterone acetate (DMPA) (Fig. 4 A) were shown to induce azoospermia in half of study subjects with some degree of oligozoospermia in most others. The contraceptive efficacy of these combinations, however, was poor, with several couples conceiving while receiving therapy despite simultaneous use of other contraceptives.46

Fig. 4. Progestins used in male contraceptive research: ( a) medroxyprogesterone acetate, ( b) levonorgestrel, ( c) desogestrel, ( d) cyproterone acetate.(Amory JK, Bremner WJ: Newer agents for hormonal contraception in the male. Trends Endocrinol Metab 11:61, 2000.)

Recent studies of progestins have focused on newer compounds, such as the potent oral progestin, levonorgestrel (LNG) (see Fig. 4 B). A trial of LNG (500 μg orally daily) with TE (100 mg intramuscularly per week) showed the LNG-TE combination was superior to TE alone in terms of azoospermia (67% versus 33%) by 6 months.47 In addition, 94% achieved either severe oligozoospermia or azoospermia in the LNG-TE group compared with 61% of the TE-alone group. Drawbacks to the LNG-TE regimen included greater weight gain and decreases in HDL cholesterol when compared with the TE-alone group. Subsequently, lower doses of LNG have been demonstrated to be as effective at achieving azoospermia with less weight gain and smaller reductions of HDL cholesterol.48 Other progestins, such as desogestrel (see Fig. 4 C), have been tested in male contraceptive regimens. When combined with 50- and 100-mg doses of weekly TE, 18 of 23 patients became azoospermic after 24 weeks and all but one suppressed to less than 3 million sperm per milliliter.49 Another study has shown that 100-mg TE weekly with 150-μg desogestrel daily may be more effective than TE/LNG at suppressing sperm counts without causing greater weight gain or larger drops in HDL cholesterol than have been seen with TE/LNG.50

Progestins with anti-androgenic effects such as cyproterone acetate (CPA) (see Fig. 4 D) have also been tested as potential male contraceptives. CPA suppresses FSH and LH production at the pituitary level and also functions as an antiandrogen by blocking the binding of testosterone and dihydrotestosterone to androgen receptors.51 In a promising trial of this compound, two groups of men received CPA at either 50- or 100-mg orally daily in combination with 100-mg TE intramuscularly weekly, whereas a third group received weekly TE alone.52 All men receiving CPA became azoospermic, whereas only 3 of 5 in the TE-alone group attained azoospermia (Fig. 5). In addition, the time required to achieve azoospermia in the CPA groups was half that needed in the TE-alone group, implying that in addition to its gonadotropin-lowering effects, CPA may also block later stages of sperm maturation. No major adverse side effects, such as changes in HDL cholesterol, liver function, libido, or sexual potency were noted in this small sample of men. The sole drawbacks noted were slight decreases in body weight and serum hemoglobin level that were dependent on the dose of CPA. Subsequently, CPA has been combined with oral testosterone undecenoate in a fully oral potential male contraceptive regimen.53 Of the 8 study subjects, 1 became azoospermic, 5 were suppressed below 3 million sperm per milliliter, and the 2 remaining study subjects were suppressed to 4 and 6 million sperm per milliliter. Alterations in this regimen may lead to more complete and reliable spermatogenic suppression and the eventual availability of a true “male pill.”

Fig. 5. Sperm concentrations in individual subjects during the control period, throughout 16 weeks of hormone administration and during 26 weeks of recovery phase.(Meriggiola MC, Bremner WJ, Paulsen CA et al: A combined regimen of cyproterone acetate and testosterone enanthate as a potentially highly effective male contraceptive. J Clin Endocrinol Metab 81:3018, 1996.)

Back to Top
KILLING OR INHIBITING SPERM: SPERMICIDES AND SPERM IMMUNIZATION

Spermicides

Spermicides are chemical agents that kill sperm. The most widely used, nonoxynol-9, is a nonionic surfactant that exerts both spermidical and antiviral activities and has been reported to kill HIV in vitro. Nonoxynol-9 may be used both alone and with condoms; however, it is not optimal for contraceptive use without a condom because the 1-year failure rate when used alone is 26%.21 Certain chelating compounds, such as ethylenediamine tetraacetic acid (EDTA), improve in vitro spermicidal activity of nonoxynol-9 and are being tried in clinical trials to improve its contraceptive efficacy.54 Drawbacks to spermicides include occasional reports of vaginal or penile irritation or pruritus.

Agents that inhibit sperm-specific functions are an intriguing possibility for male contraception. Voltage-dependent calcium channels that are testis specific have been described.55,56 These channels mediate acrosomal reaction of human sperm during fertilization and inhibitors of these channels may prevent sperm-egg fusion. Indeed, calcium-channel blockers such as nifedipine have been implicated in male infertility.57,58 Further research on the function and the identification of specific inhibitors is needed, however, before this is likely to be a viable contraceptive approach.

Sperm Immunization

Sperm are sequestered from the immune system by the sperm-testis barrier and are therefore somewhat antigenic. The presence of anti-sperm antibodies has been associated with infertility in men after vasectomy reversal.19 Efforts have been made to create a male contraceptive by immunizing laboratory animals against sperm proteins.59 The rat epididymal protein DE associates with the sperm surface during maturation. Immunization against this protein results in low fertility rates in antibody-forming rats because sperm appear unable to fuse with eggs.60 Some rats, however, fail to develop antibody titers sufficient to prevent fertilization. Similarly, immunization with fertilization antigen (FA-1), a sperm-specific glycoprotein that is thought to bind the zona pellucida during fertilization, leads to transient infertility in some laboratory animals.61 Current research in this area is focusing on using multiple antigens and improving the levels of neutralizing antibody within the reproductive tract.62 Many improvements, including assurances of reversibility and safety in regards to concerns of autoimmunity, will be required before sperm immunization will be clinically useful for male contraception.

Back to Top
CONCLUSIONS

Additional contraceptives, especially those intended for men, are needed to check population growth and prevent undesired pregnancy. Existing male methods of contraception, including condoms and vasectomy, are effective but have limitations. Research in sperm immunization and sperm-specific inhibitors has progressed slowly; however, the hormonal approach to male contraception is effective, reversible, and seems safe. Long-acting injections of testosterone esters (e.g., testosterone undecanoate) may prove effective in Asian men whereas combinations with long-acting progestins, or GnRH antagonists, will likely be required in non-Asian populations. Current research is focused on both improving the method and characteristics of androgen administration and finding combinations with progestins or GnRH antagonists that optimize sperm count suppression in all populations while minimizing side effects.

Back to Top
REFERENCES

1. World's population to reach six billion. MMWR Morb Mortal Wkly Rep 48:859, 1999

2. Henshaw SK: Unintended pregnancy in the US. Fam Plann Perspect 30: 24, 1998

3. Henshaw SK, Van Vort J: Abortion services in the United States, 1991 and 1992. Fam Plann Perspect 26: 100, 1994

4. Henshaw SK: Induced abortions: A world review. Fam Plann Perspect 22: 76, 1990

5. Maine D, Karkazis K, Bolan N: The bad old days are still here: Abortion mortality in developing countries. J Am Med Womens Assoc 49: 137, 1994

6. Plymate SR: Male hypogonadism. In Becker KL (ed): Principles and Practice of Endocrinology and Metabolism, p 1056. 2nd ed. Philadelphia: JB Lippincott, 1995

7. DeKretser DM: Morphology and physiology of the testis. In Becker KL (ed): Principles and Practice of Endocrinology and Metabolism, p 1032. 2nd ed. Philadelphia: JB Lippincott, 1995

8. Silber SJ, Ord T, Balmaceda J et al: Congenital absence of the vas deferens: The fertilizing capacity of human epididymal sperm. N Engl J Med323:1788, 1990

9. Haws JM, Morgan GT, Pollack AE et al: Clinical aspects of vasectomies performed in the United States in 1995. Urology 52: 685, 1998

10. Schmidt SS. Vasectomy by section, luminal fulguration and fascial interposition: Results from 6248 cases. Br J Urol 76:373, 1995

11. Philp T, Guillebaud J, Budd D. Complications of vasectomy: Review of 16,000 patients. Br J Urol 56: 745, 1984

12. Li S-Q, Goltein M, Shu J et al: The no-scapel vasectomy. J Urol 145: 341, 1991

13. Nirapathpongporn A, Huber DJ, Krieger JN: No scalpel vasectomy at the King's birthday vasectomy festival. Lancet 335: 894, 1990

14. Skriver M, Skovsgaard F, Miskowiak J: Conventional or Li vasectomy: A questionnaire study. Br J Urol 79: 596, 1997

15. McMahon AJ, Buckley J, Taylor A, et al: Chronic testicular pain following vasectomy. Br J Urol 69: 188, 1992

16. Myers SA, Mershon CE, Fuchs EF: Vasectomy reversal for treatment of the post-vasectomy pain syndrome. J Urol 157: 518, 1997

17. Jequier AM: Vasectomy related infertility: A major and costly medical problem. Hum Reprod 13: 1757, 1998

18. Belker AM, Thomas AJ, Fuch EF et al: Results of 1,469 microsurgical vasectomy reversals by the Vasovasostomy Study Group. J Urol 145: 505, 1991

19. Heidenreich A, Bonfig R, Wilbert DM et al: Risk factors for antisperm antibodies in infertile men. Am J Reprod Immunol 31: 69, 1994

20. Peterson HB, Howards SS. Vasectomy and prostate cancer: The evidence to date. Fertil Steril 70: 201, 1998

21. Fu H, Darroch JE, Haas T et al: Contraceptive failure rates: New estimates from the 1995 National Survey of Family Growth. Fam Plann Perspect 31: 56, 1999

22. Turjanmaa K: Allergy to natural rubber latex: A growing problem. Ann Med 26: 297, 1994

23. Levy DA, Khouader S, Leynadier F: Allergy to latex condoms. Allergy 53: 1107, 1998

24. Martin CW, Anderson RA, Cheng L et al: Potential impact of hormonal male contraception: Cross-cultural implications for development of novel preparations. Hum Reprod 15: 637, 2000

25. Glasier AF, Anakwe R, Everington D et al: Would women trust their partners to use a male pill? Hum Reprod 15: 646, 2000

26. Amory JK, Bremner WJ: The use of testosterone as a male contraceptive. Ballieres Clin Endocrinol Metab 12: 471, 1998

27. World Health Organization Task Force on Methods for the Regulation of Male Fertility: Contraceptive efficacy of testosterone-induced azoospermia and oligozoospermia in normal men. Fertil Steril 65:821, 1997

28. World Health Organization: Contraceptive efficacy of testosterone-induced azoospermia in normal men. Lancet 336:995, 1990

29. Bagatell CJ, Heiman JR, Matsumoto AM et al: Metabolic and behavioral effects of high-dose, exogenous testosterone in healthy men. J Clin Endocrinol Metab 79: 561, 1994

30. Meriggiola MC, Marcovina S, Paulsen CA et al: Testosterone enanthate at the dose 200 mg/week decreases HDL-cholesterol levels in healthy men. Int J Androl 18: 237, 1995

31. Coert A, Geelen J, de Visser J et al: The pharmacology and metabolism of testosterone undecenoate (TU), an new orally active androgen. Acta Endocrinol (Copennh) 79: 789, 1975

32. Zhang GY, Gu YQ, Wang XH et al: A pharmacokinetic study of injectable testosterone undecenoate in hypogonadal men. J Androl 19: 761, 1998

33. Behre AM, Abshagen K, Oettel M et al: Intramuscular injection of testosterone undecenoate for the treatment of male hypogonadism: Phase I studies. Eur J Endrocrinol 140: 414, 1999

34. Nieschlag E, Buchter D, VonEckardstein S et al: Repeated intramuscular injections of testosterone undecenoate for substitution therapy in hypogonadal men. Clin Endocrinol (Oxf) 51: 757, 1999

35. Zhang GY, Gu YQ, Wang XH et al: Injectable testosterone undecenoate for contraception in Chinese men. J Clin Endocrinol Metab 84: 3642, 1999

36. Sundaram K, Kumar N, Bardin CW: 7α-methyl-19-nortestosterone: An ideal androgen for replacement therapy. Rec Prog Hormone Res 49: 373, 1994

37. Buchter D, VonEckardstein S, VonEckardstein A et al: Clinical trial of transdermal testosterone and oral levonorgestrel for male contraception. J Clin Endocrinol Metab 84: 1244, 1999

38. Pavlou SN, Brewer K, Farley MG et al: Combined administration of a gonadotropin-releasing hormone antagonist and testosterone in men induces reversible azoospermia without loss of libido. J Clin Endocrinol Metab 73: 1360, 1991

39. Tom L, Bhasin S, Salameh W et al: Induction of azoospermia in normal men with combined Nal-Glu gonadotropin-releasing hormone and testosterone enanthate. J Clin Endocrinol Metab 75: 476, 1992

40. Bagatell CJ, Matsumoto AM, Christensen RB et al: Comparison of a gonadotropin releasing-hormone antagonist plus testosterone (T) versus T alone as potential male contraceptive regimens. J Clin Endocrinol Metab 77: 427, 1993

41. Yeung CH, Weinbauer GF, Cooper TG: Effect of acute androgen withdrawal by GnRH antagonist on epididymal sperm motility and morphology in the cynomolgus monkey. J Androl 20: 72, 1999

42. Rolf C, Gottschalk I, Behre HM et al: Pharmacokinetics of new testosterone transdermal therapeutic systems in gonadotropin-releasing hormone antagonist-suppressed normal men. Exp Clin Endocrinol Diabetes 107: 63, 1999

43. Cho N, Harada M, Imaeda T et al: Discovery of a novel, potent, and orally active nonpeptide antagonist of the human luteinizing hormone-releasing hormone (LHRH) receptor. J Med Chem 41: 4190, 1998

44. Walsh TF, Toupence RB, Young JR et al: Potent antagonists of gonadotropin releasing hormone receptors derived from quinolone-6-carboxamides. Bioorg Med Chem Lett 10: 443, 2000

45. Meriggiola MC Bremner WJ: Progestin-androgen combination regimens for male contraception. J Androl 18: 240, 1997

46. Barfield A, Melo J, Coutinho E et al: Pregnancies associated with sperm concentrations below 10 million/ml in clinical studies of a potential male contraceptive method, monthly depot medroxyprogesterone acetate and testosterone esters. Contraception 20: 121, 1979

47. Bebb RA, Anawalt BD, Christensen RB et al:. Combined administration of levonorgestrel and testosterone induces more rapid and effective suppression of spermatogenesis than testosterone alone: A promising male contraceptive approach. J Clin Endocrinol Metab 81:757, 1996

48. Anawalt BD, Bebb RA, Bremner WJ et al: A lower dosage levonorgestrel and testosterone combination effectively suppresses spermatogenesis and circulating gonadotropin levels with fewer metabolic effects than higher dosage combinations. J Androl 20: 407, 1999

49. Wu FC, Balasubramanian R, Mulders TIM et al: Oral progestogen combined with testosterone as a potential male contraceptive: Additive effects between desogestrel and testosterone enanthate in suppression of spermatogenesis, pituitary-testicular axis, and lipid metabolism. J Clin Endocrinol Metab 84: 112, 1999

50. Anawalt BD, Bebb RA, Herbst KL et al: Desogestrel plus testosterone effectively suppresses spermatogenesis but also causes modest weight gain and HDL suppression. Fertil Steril 74: 707, 2000

51. Neumann F, Topert M. Pharmacology of antiandrogens. J Steroid Biochem 25:885, 1986

52. Meriggiola MC, Bremner WJ, Paulsen CA et al: A combined regimen of cyproterone acetate and testosterone enanthate as a potentially highly effective male contraceptive. J Clin Endocrinol Metab 81: 3018, 1996

53. Meriggiola MC, Bremner WJ, Constantino A et al: An oral regimen of cyproterone acetate and testosterone for spermatogenic suppression in men. Fertil Steril 68: 844, 1997

54. Lee CH, Bagdon R, Chien YW: Comparative in vitro spermidical activity of chelating agents and synergistic effect with nonoxynol-9 on human sperm function. J Pharm Sci 85: 91, 1996

55. Brandelli A, Miranda PV, Tezon JG: Voltage-dependent calcium channels and Gi regulatory protein mediate the human sperm acrosomal exocytosis induced by N-acetylglucosaminyl/mannosyl neoglycoproteins. J Androl 17: 522, 1996

56. Goodwin LO, Leeds NB, Hurley I et al: Isolation and characterization of the primary structure of testis-specific L-type calcium channel: Implications for contraception. Mol Hum Reprod 3: 255, 1997

57. Hershlag A, Cooper GW, Benoff S. Pregnancy following discontinuation of a calcium channel blocker in the male partner. Hum Reprod 10:599, 1995

58. Enders G: Clinical approaches to male infertility with a case report of possible nifedipine-induced sperm dysfunction. J Am Board Fam Pract 10: 131, 1997

59. Feng H, Sandlow JU, Sparks AE, Sandra A. Development of an immunocontraceptive vaccine. J Reprod Med 44:759, 1999

60. Ellerman DA, Brantua VS, Martinez SP et al: Potential contraceptive use of epididymal proteins: Immunization of male rats with epididymal protein DE inhibits sperm fusion. Biol Reprod 59: 1029, 1998

61. Naz RK: Vaccine for contraception targeting sperm. Immunol Rev 171: 193, 1999

62. Frayne J, Hall L: The potential use of sperm antigens as targets for immunocontraception: Past, present and future. J Reprod Immunol 43: 1, 1999

Back to Top